帳號
密碼
記住我
忘記密碼
高中解題老師班表
國中解題老師班表
劉宜甄
蔡梵志
黃欣育
more...
廖子萱
林采晨
陳顥文
more...
許任佑
林亭如
施宛妤
more...
搜尋
FF140625017
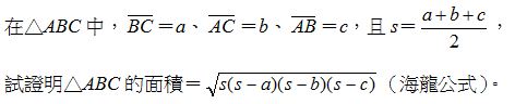
高中 / 數學 三角函數
2015/07/14 14:24
問題
主題 :
三角函數
題目難易度: 容易
出處 :
20150714 數學
請詳細解說,感恩!:)
(原作者於 2015/07/14 07:10 重新編輯過)
已解答
分享
訂閱
登入後方能觀看解答
使用手冊
more...
發問規則 : (若未依規定發表,一律刪除留言,不另行通知)
1.
當詢問問題時,在按下送出鈕後,學員所設定的點數即會先行扣除。
2.
若問題到期後該問題仍無人回答,則原發問者所付出的點數將全額退還。
3.
每次發問解題以一題為限,請標示解題題號,若無標示則以畫面第一題為準,若有多題題目發問,請另行發問。
4.
相同的文章內容請勿重複張貼。
5.
發言內容請勿夾雜注音符號。
6.
為了保障您的隱私與安全,請勿隨意在發問區中公開自己或他人的詳細連絡資料 ( 如 EMail、電話、地址...)。
我已閱讀本發問規則,我的內容不違反本發問規則。